Propane heat pump hits new efficiency record
11th October 2022
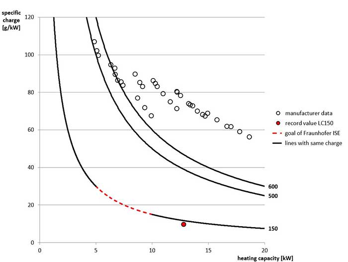
GERMANY: Engineers in Germany developing a propane-based refrigeration circuit for heat pumps are said to have achieved a heating capacity of 12.8kW with only 124g of propane.
A prototype of the circuit, part of the project LC150 (Low Charge 150g), is being shown by the Fraunhofer Institute for Solar Energy Systems ISE at this week’s Chillventa exhibition in Nuremberg (Hall 4A/Stand 306).
While propane has very good thermodynamic properties and low global warming potential, its flammability limits the charge size that can be safely used. According to Fraunhofer ISE, currently available heat pumps use about 60g of propane per kilowatt.
Fraunhofer ISE and a consortium of heat pump manufacturers has been building prototypes for brine heat pumps, assembling the individual components (evaporator, compressor, condenser, heat exchanger and expansion valve) in a variety of different constellations. These modules are measured on test stands 24 hours a day for two weeks at a time. Each prototype is run at between 30 and 150 operating points, and the measured values are recorded by 26 sensors. In the search for the ideal heat pump, 26 prototypes have been built so far, 14 of which have already passed through the complete measurement matrix.

The device with the best constellation of components achieved a maximum heating capacity of 12.8kW and a COP of 4.7 with only 124 grams of propane. Achieving only 9.7g of propane per kW of heating capacity clearly exceeded the project’s goal of reducing the specific amount of refrigerant to between 15-30g/kW.
“This is roughly equivalent to the amount of propane in five cigarette lighters,” explained Fraunhofer ISE’s project manager Clemens Dankwerth.
The record-breaking refrigeration circuit is not yet ready for market launch in this form, because a semi-hermetic automotive compressor was used. This requires less refrigerant at a higher capacity thanks to its high rotational speed and low oil volume. So far, automotive compressors have not been designed for the high operating hours of a heat pump that is meant to last 20 years.
”However, the manufacturer is already working on fully hermetic compressors with a longer service life,” said Clemens Dankwerth.
The final version of the record refrigeration circuit would be implemented with slightly more refrigerant and a slightly larger heat exchanger to achieve a more balanced system, it is said. The research team insists that the goals of the LC 150 project – a refrigeration circuit with an output of 8-10kW and a maximum charge of 150g of refrigerant – can be achieved under real operating conditions.
The second-best refrigeration circuit in the test programme so far, using a conventional fully hermetic compressor, also met the project’s targets, with a charge of 164g of propane achieving a heating capacity of 8.1kW.
In addition to the compressor, the research team also reduced the internal volume of the heat exchangers and the amount of oil to reduce the amount of refrigerant required. Additional components such as sensors have been kept to a minimum and the piping kept as short as possible to reduce the internal volumes.
The LC150 project is funded by the German Federal Ministry of Economics and Climate Protection (BMWK) and runs until March 2023.
Related stories:
Low charge propane heat pump developer seeks partners – 22 October 2019
GERMANY: A German research institute claims to have developed a prototype hydrocarbon domestic heat pump with a heat output of 8kW from just 150g of propane. Read more…
Fraunhofer develops propane heat pump – 3 September 2018
GERMANY: Researchers at the Fraunhofer Institute claim to have developed a viable propane heat pump using low volume heat exchangers and a special compressor. Read more…






